音頻變壓器輸入和輸出阻抗匹配電壓平方比
發布時間:2022-08-27 15:32:51點擊量:
變壓器可以像處理電壓和電流一樣提高或降低阻抗。雖然它們通過匝數比改變電壓,并且通過匝數比的倒數改變電流,但音頻變壓器通過匝數比的平方改變阻抗。在兩個繞組的每個單線圈匝中感應出相同量的電壓。
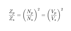
因此,初級與次級電壓比 (VP / VS) 將與匝數比 (NP / NS)相同。阻抗匹配音頻變壓器總是通過其匝數比的平方給出從一個繞組到另一個繞組的阻抗比值。也就是說,它們的阻抗比等于其匝數比的平方以及其初級與次級電壓比的平方:

阻抗取決于從電壓到磁通量的轉換效率。音頻變壓器非常適合平衡具有不同輸入/輸出阻抗的放大器和負載,以實現最佳功率傳輸,例如在放大器輸入處使用變壓器以匹配麥克風、連接電纜和放大器輸入之間的阻抗。
輸入和輸出阻抗水平匹配,以創建高效的功率傳輸,而不會失真或信號過載。阻抗匹配變壓器在設計上類似于低頻電壓和電源變壓器,但它們的工作頻率范圍更廣(例如,20Hz到20kHz的語音范圍)。


