如何計算交叉滾子軸承的使用壽命(各種載荷類型)
交叉滾子軸承是一種旋轉軸承,它使用交叉排列的圓柱滾子,每個滾子相對于相鄰的滾子成90度角。這種布置使交叉滾子軸承能夠承受徑向、軸向和力矩載荷,因此,對于安裝空間有限的應用,它們通常可以取代雙軸承布置。由于滾子和滾道之間的線性接觸,交叉滾子設計顯示出非常高的剛性和負載下的最小偏轉。這些特性使交叉滾子軸承成為旋轉運動部件的理想選擇,例如旋轉致動器和旋轉滾珠花鍵。

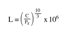
1、交叉滾子軸承壽命計算
交叉滾子軸承的預計壽命是通過使用滾子作為承載元件的軸承的標準壽命方程計算的:

請注意,軸承壽命方程中的指數是“10/3”,而不是典型的“3”。這是因為交叉滾子軸承使用滾子而不是球來承載載荷。
2、如何考慮軸向、力矩或組合載荷
交叉滾子軸承的基本額定動載荷適用于徑向施加的載荷。

當交叉滾子軸承承受軸向和/或力矩載荷時,必須根據所施加的徑向、軸向和力矩載荷的組合計算等效徑向載荷。

3、徑向和軸向載荷系數
徑向和軸向載荷系數(分別為X和Y)通常用于旋轉軸承,以說明載荷在軸承內的分布情況。它們的值根據軸向和徑向載荷的比率而變化。
對于交叉滾子軸承,軸向與徑向載荷比的閾值為1.5,此時軸向載荷開始影響滾子在滾道內的運行方式,因此,載荷如何分布在每個滾子上。
對于軸徑向載荷比等于或小于1.5的情況,徑向載荷系數高于軸向載荷系數(1.0對0.45),這意味著徑向載荷在軸承疲勞中起著更重要的作用。

但是,如果軸向與徑向載荷比超過1.5,則徑向載荷和軸向載荷乘以相同的載荷系數(0.67),這意味著它們在引起軸承疲勞方面起同等作用。

4、基于等效徑向載荷的壽命
現在可以使用等效徑向載荷來確定交叉滾子軸承的壽命。

5、高溫、沖擊和振動載荷以及振蕩運動的因素
大多數制造商還建議結合因素來調整高溫應用(通常是80°C以上的應用)以及具有中度或重度沖擊載荷的應用。

如果應用涉及擺動運動-重復的部分旋轉-壽命應減少擺動量。



