三相異步電機低、中、高滑區轉矩的滑差特性
發布時間:2023-02-01 16:39:59點擊量:
對于特定的轉子電阻和電抗值,在轉矩和轉差之間繪制的圖表稱為感應電機的轉矩轉差特性。三相感應電機在運行條件下的轉矩由下式:

從等式。上圖可以看出,如果R 2和X 2保持不變,則扭矩取決于轉差率“s”。扭矩-轉差特性曲線可分為三個區域,也即是以下特征:

一、低滑區
在同步速度下,轉差s=0,因此轉矩為0。當速度非常接近同步速度時,轉差非常低,與R 2相比,(??2)2 項可以忽略不計。

如果R 2是常數,則
τr ∝ s…
等式表明轉矩與轉差成正比。因此,當轉差較小時,轉矩-轉差曲線為直線。
二、中滑區
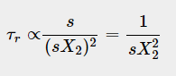
當滑移增加時,(??2)2項變大,以至于與(??2)2相比,?22可以忽略。

如果X 2是常數,則

因此,扭矩與滑向靜止狀態成反比。因此,對于滑差的中間值,扭矩滑移特性由矩形雙曲線表示。當R 2=??2時,曲線通過最大扭矩點。感應電機產生的最大扭矩稱為牽引扭矩或擊穿扭矩。該擊穿轉矩是電機短時過載能力的量度。
三、高滑區
扭矩減小超過最大扭矩點。結果,電機減速并最終停止。感應電機在s=0和s=s m之間的轉差值下運行,其中sm是對應于最大轉矩的轉差值。對于典型的三相感應電機,擊穿轉矩是滿載轉矩的2到3倍。因此,電機可以在短時間內處理過載而不會失速。
*從轉矩到轉差特性可以看出,在轉子電路中增加電阻不會改變最大轉矩的值,而只會改變出現最大轉矩時的轉差值。


